
Deconstructing Bert Part 2 Visualizing The Inner Workings Of

What S The Difference Between The Osi Seven Layer Network Model

Small Enterprise Design Profile Reference Guide Small Enterprise


Tensorrt Developer Guide Nvidia Deep Learning Sdk Documentation

4g 5g Ran Architecture How A Split Can Make The Difference

What Is The Osi Model Network Architecture In 7 Layers Bmc Blogs

What Is Sdn How Software Defined Networking Changed Everything

Database Model Wikipedia

Ruminating Reader Reasoning With Gated Multi Hop Attention

What Is The Osi Model Network Architecture In 7 Layers Bmc Blogs

What Is A Virtual Local Area Network Vlan Definition From

Networking And Security In Industrial Automation Environments

What Is The Osi Model Definition From Whatis Com

Keras Multiple Inputs And Mixed Data Pyimagesearch

Software Defined Satellite Cloud Ran Ahmed 2018

Support Software Defined Access Solution Design Guide Cisco

How To Develop A Conditional Gan Cgan From Scratch

Future Internet Free Full Text A Service Oriented Approach For

Layer 3 Redundancy With Hsrp Sunset Learning Institute

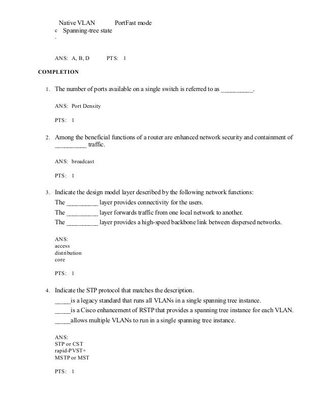
Cnet311 Q Bank

2020 Best Sites For Free Dwg Files All3dp

Software Defined Satellite Cloud Ran Ahmed 2018

Future Internet Free Full Text A Service Oriented Approach For

Keras Multiple Inputs And Mixed Data Pyimagesearch

Cisco Internetworking Basics
Vmware Telco Cloud Blog Transforming The Telecom Network Through

Network Function Virtualization Nfv Orchestration Oracle

Protocol Data Unit Wikipedia

How To Use The Keras Functional Api For Deep Learning

The 7 Layers Of The Osi Model Webopedia Study Guide

Network Function Virtualization Nfv Using Ios Xr

10 Principles For Modernizing Your Company S Technology

135 Questions With Answers In Software Defined Networking
1584063230000000

Analysis Of End To End Multi Domain Management And Orchestration

5g And Tsn Integrated For Industrial Automation Ericsson

Saas Role Definitions Winning By Design

What S The Difference Between The Osi Seven Layer Network Model

Interface Control By Chemical And Dimensional Matching In An Oxide
0 Yorumlar